Emmanuel Chaves • 15 dez 2023
Tempo de atuação dos disjuntores em caso de alta corrente DC
Em eventos de curto-circuito com contribuição de geradores, a alta corrente DC resulta da relação X/R. Ao temporizar a abertura do disjuntor, garante-se uma interrupção mais suave e preserva-se os equipamentos. Toda essa análise deve ser realizada por profissionais capacitados.
Neste artigo, o evento que analisaremos envolve um gerador com um curto-circuito de alto nível DC. Essa elevação na corrente de curto-circuito é ocasionada pela alta relação X/R da máquina. A presença de uma indutância (X) com baixa resistência contribui para a falta de amortecimento do pico, explicando o alto nível DC.

Aplicando-se um curto-circuito na barra da direita (representado por um raio na imagem a cima), o disjuntor do gerador é acionado em 200 ms. O curto se inicia no tempo zero segundos, gerando uma alta componente DC devido à elevada relação X/R. A corrente DC aumenta, mas é interrompida quando o disjuntor é acionado em 200 ms, focando na fase A, enquanto as fases B e C continuam a conduzir corrente, resultando em danos ao equipamento. Isso justifica a necessidade, em alguns casos, de investir em disjuntores específicos e mais robustos, mesmo que mais caros.

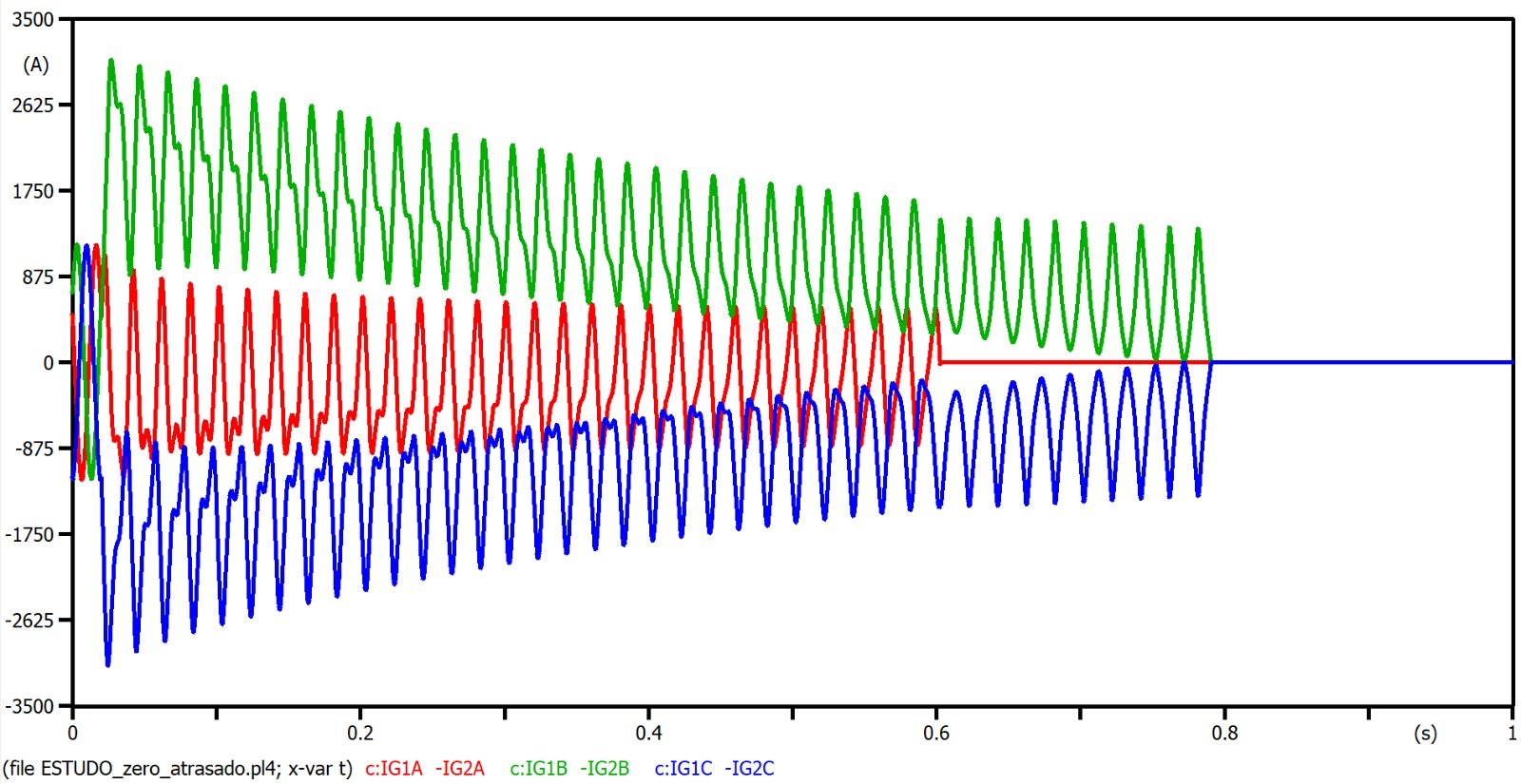
Ao ajustar o tempo de abertura do disjuntor para 0,6 segundos, por exemplo, é possível cortar a corrente da fase A, mas as fases B e C ainda conduzem corrente, zerando apenas por volta de 0,8 segundos. Embora a corrente seja de menor magnitude comparada à abertura anterior com alto nível DC, a componente exponencial associada ao nível DC permanece presente. Visualizando essa exponencial como a "altura" da corrente de curto, é crucial compreender que abrir o disjuntor no início resulta em uma corrente mais elevada, enquanto abri-lo mais tardiamente, durante o decaimento, proporciona uma corrente mais suave.

Esta dinâmica é crucial para a vida útil dos equipamentos e a redução do arco elétrico. Ao adotar a característica de temporizar a proteção para agir após um determinado tempo, é possível obter uma interrupção mais eficaz da corrente, preservando os equipamentos. Em sistemas de geração, é comum utilizar a proteção 51V em vez da instantânea, pois permite que outros relés de proteção ajam primeiro, removendo o curto antes de interromper o gerador. Esta abordagem é conhecida como "zero atrasado", indicando que a corrente só zera após passar pelo zero.
Portanto, é crucial realizar essa temporização de abertura do disjuntor por meio de estudos detalhados com softwares específicos e a orientação de profissionais capacitados. Esse ajuste deve ser coordenado com a seletividade da planta, garantindo que outros disjuntores próximos ao curto abram mais rapidamente, permitindo que o gerador, com seu alto nível DC, abra em tempos mais prolongados.
Em caso de dúvidas, sugestões ou tenha interesse em fazer parcerias, entre em contato conosco!
https://sensorlessengenharia.com.br/entre-em-contato
E lembre-se... Pensou em energia, pensou Sensorless!
Conheça mais
As novidades e assuntos mais importantes sobre energia renovável você encontra aqui.
Caio Ferreira, Leandro Perdigão e Emmanuel Chaves • 28 jan 2025
Ressonância Paralela na Rede da Concessionária em Decorrência das Plantas Fotovoltaicas Os inversores fotovoltaicos podem gerar harmônicos que, combinados com a impedância da rede e capacitores na média tensão, causam ressonância paralela e sobretensões no sistema elétrico da concessionária. Entenda porque isso ocorre e como mitigar seus efeitos. Estudos de Casos
Caio Ferreira, Leandro Perdigão e Emmanuel Chaves • 29 nov 2023
Malha de Aterramento: Segurança e Eficiência Energética Maximize a eficiência e segurança de sua usina fotovoltaica com uma malha de aterramento precisa. Proteja seus investimentos, atenda às normas e promova um ambiente confiável. É essencial que o dimensionamento seja embasado em dados de medições e simulações com software. Fotovoltaico
Caio Ferreira, Leandro Perdigão e Emmanuel Chaves • 05 jan 2024
Normas e Obrigações Relacionadas à Qualidade de Energia Normas internacionais como a IEC 61000, IEC 61000-4-30, IEEE 519 e IEC 61587 estabelecem parâmetros para garantir a eficiência e confiabilidade dos sistemas elétricos. O monitoramento especializado e periódico é essencial para assegurar conformidade e eficácia operacional. GeraçãoComece a contribuir para um futuro mais sustentável!
Quer ter acesso às soluções personalizadas de energia solar e engenharia elétrica que a Sensorless pode oferecer para a sua casa ou empresa?